Корзина пуста
Статьи
Общие вопросы измерений
Терминология
Знание метрологической терминологии, параметров измеряемых сигналов и принятой в нашей стране системы единиц измерения физических величин помогает успешно выполнять измерения и изучать литературу, посвященную измерениям физических величин и измерительным приборам.
Основные метрологические термины:
| Метрология | - наука об измерениях, методах и средствах обеспечения их единства и способах достижения требуемой точности. |
| Измерение | - нахождение значения физической величины опытным путем с помощью специальных технических средств. |
| Прямое измерение | - измерение, при котором искомое значение величины находят непосредственно из опытных данных. Например: измерение напряжения при помощи вольтметра. |
| Косвенное измерение | - измерение, при котором искомое значение величины находят на основании известной зависимости между этой величиной и величинами, подвергаемыми прямым измерениям. Например: измерение электрической мощности постоянного тока при помощи вольт- и амперметра (P=U I). |
| Истинное значение физической величины | - значение физической величины, которое идеальным образом отражает в качественном и количественном отношениях соответствующее свойство данного объекта. Истинное значение практически недостижимо. |
| Действительное значение физической величины | - значение, полученное экспериментальным путем и настолько приближающееся к истинному значению, что для данной цели может быть использовано вместо него. |
| Средство измерений | - техническое средство, используемое при измерениях и имеющее нормированные метрологические характеристики. Метрологическими называют характеристики, которые оказывают влияние на результат и погрешность измерения (например, рабочий диапазон частот, климатические условия и др.). |
| Погрешность измерения | - отклонение результата измерения от истинного значения измеряемой величины. |
| Погрешность измерительного прибора | - разность между показанием прибора и истинным значением измеряемой величины |
| Точность измерений | - качество измерения, отражающее близость его результатов к истинному значению измеряемой величины. Высокая точность измерений соответствует малым погрешностям. |
| Результат измерения | - значение величины, найденное путем ее измерения. Измерение может быть однократным, и тогда показание средства измерений является результатом измерения, и многократным - в этом случае результат измерения находят путем статистической обработки результатов каждого наблюдения. |
| Показание средства измерений | - это значение измеряемой величины, определяемое по отсчетному устройству средства измерений и выраженное в принятых единицах этой величины. Для нахождения показания прибора Хпр. необходимо величину отсчета N умножить на цену деления шкалы k: Хп.=kN. Цена деления шкалы соответствует интервалу между двумя соседними отметками шкалы, выраженному в значениях измеряемой величины. |
| Принцип измерения | - совокупность физических явлений, на которых основано данное измерение. |
| Метод измерения | - совокупность приемов использования принципов и средств измерений. |
Классификация средств измерений
В силу большого разнообразия средств измерения существует довольно широкий набор их классификационных признаков. Рассмотрим основные.
По функциональному назначению все средства измерения делятся на:
Мера - средство измерений, предназначенное для воспроизведения физической величины заданного размера.
Измерительный прибор - средство измерений, предназначенное для выработки сигнала измерительной информации (т.е. сигнала, содержащего количественную информацию об измеряемой физической величине) в форме, доступной для непосредственного восприятия наблюдателем.
Измерительный преобразователь - средство измерений, предназначенное для выработки сигнала измерительной информации в форме, удобной для передачи, обработки и хранения, но не обеспечивающей непосредственное восприятия наблюдателем. Наиболее многочисленной группой средств измерений являются измерительные приборы и преобразователи, которые обобщенно называют измерительными устройствами.
Вспомогательное средство измерения - средство измерения величин, влияющих на метрологические характеристики другого средства измерения при его применении.
Измерительная установка - совокупность функционально объединенных средств измерений, предназначенная для выработки сигналов измерительной информации в форме, удобной для непосредственного восприятия наблюдателем, и расположенная в одном месте.
Измерительная система - совокупность средств измерений, соединенных между собой каналом общего пользования (КОП) и предназначенная для выработки сигналов измерительной информации в форме, удобной для автоматической обработки. Создание информационно-измерительных систем (ИИС) связано с новым этапом развития измерительной техники - построение автоматизированных ИИС на базе радиоизмерительных приборов общего применения.
По принципу измерений различают электроизмерительные и радиоизмерительные приборы.
Электроизмерительные приборы применяются для измерений на постоянном токе и в области низких частот (20 - 2500 Гц) токов, напряжений, электрических мощностей, частоты, фазовых сдвигов, сопротивлений, емкостей и других величин, характеризующих режим работы электрических цепей и параметры их элементов. Обозначение таких приборов состоит из буквы русского алфавита, характеризующей тип измерительного механизма, и числа, определяющего вид и тип прибора: Д - электродинамические; И - индукционные; М - магнитоэлектрические; Н - самопишущие; Р - меры, измерительные преобразователи, приборы для измерения параметров элементов электрических цепей; С - электростатические; Т - термоэлектрические; Ф - электронные, фотоэлектронные, цифровые; Ц - выпрямительные и комбинированные; Э - электромагнитные. Например: С197 - киловольтметр электростатический. К обозначению могут добавляться буквы М (модернизированный), К (контактный) и др., отмечающие конструктивные особенности или модификации приборов.
Радиоизмерительные приборы применяются для измерения разнообразных электрических и радиотехнических величин как на постоянном токе, так и в широком диапазоне частот, а также для наблюдения и исследования формы радиосигналов и характеристик радиоэлектронных устройств, генерации испытательных сигналов и питания измерительных устройств. Система обозначений данных приборов соответствует ГОСТ 15094-86 и состоит из: буквы русского алфавита, определяющей характер измерений и вид измеряемых величин (таблица 1); цифры (от 1 до 9), обозначающей тип измерительного прибора, и через дефис n-значного числа (n=1, 2, 3), указывающего порядковый номер модели. Например: В7-65 - вольтметр (подгруппа В) универсальный (тип В7) модели номер 65. В обозначении приборов, подвергшихся модернизации, после номера модели добавляется русская буква в алфавитном порядке (например, В7-65А); для обозначения приборов с одинаковыми электрическими характеристиками, различающимися лишь конструктивным исполнением, используется дополнительная цифра, которая пишется через дробь после номера модели (например, В7-65/1). Многофункциональные приборы могут иметь в обозначении типа дополнительную букву "К" (например, СК6-13).
| Подгруппа | Наименование подгруппы |
| А | Приборы для измерения силы тока |
| Б | Источники питания для измерений и измерительных приборов |
| В | Приборы для измерения напряжения |
| Г | Генераторы измерительные |
| Д | Аттенюаторы и приборы для измерения ослаблений |
| Е | Приборы для измерения параметров компонентов и цепей с сосредоточенными постоянными |
| И | Приборы для импульсных измерений |
| К | Комплексные измерительные установки |
| Л | Приборы общего применения для измерения параметров электронных ламп и полупроводниковых приборов |
| М | Приборы для измерения мощности |
| Н | Меры и калибраторы |
| П | Приборы для измерения напряженности поля и радиопомех |
| Р | Приборы для измерения параметров элементов и трактов с распределенными постоянными |
| С | Приборы для наблюдения, измерения и исследования формы сигнала и спектра |
| У | Усилители измерительные |
| Ф | Приборы для измерения фазового сдвига и группового времени запаздывания |
| Х | Приборы для наблюдения и исследования характеристик радиоустройств |
| Ц | Анализаторы логических устройств |
| Ч | Приборы для измерения частоты и времени |
| Ш | Приборы для измерения электрических и магнитных свойств материалов |
| Э | Измерительные устройства коаксиальных и волноводных трактов |
| Я | Блоки радиоизмерительных приборов |
По методу измерений измерительные устройства бывают прямого действия, реализующие метод непосредственной оценки, и устройства использующие метод сравнения.
Простейшим является метод непосредственной оценки, в котором значение измеряемой величины определяют непосредственно по отсчетному устройству измерительного прибора.
Наиболее точным является метод сравнения измеряемой величины с однородной независимой известной величиной. По способу осуществления метод сравнения может быть нулевым, дифференциальным, методом замещения, методом совпадения. При нулевом методе (иначе методе компенсации) результирующий эффект воздействия обеих величин на измерительный прибор доводят до нуля. При дифференциальном методе на измерительный прибор воздействует разность измеряемой и известной величин. При методе замещения измеряемую величину замещают (заменяют) однородной с ней величиной известного размера, который равен размеру замещенной величины, что определяется по сохранению режима в измеряемой цепи. При методе совпадения равенство значений измеряемой и известной величин фиксируется по совпадению отметок шкал, сигналов или другим признакам.
По точности измерений измерительные средства можно разделить на: эталоны, образцовые и рабочие средства измерений.
Эталон единицы - это средство измерений, обеспечивающее воспроизводство и (или) хранение единицы физической величины с целью передачи ее размера образцовым и рабочим средствам измерений.
Образцовое средство измерений - мера или измерительное устройство, служащие для поверки по ним других средств измерений и утвержденные в качестве образцовых.
Рабочее средство измерений - средство применяемое для измерений, не связанных с передачей размера единицы.
По способу обработки сигнала измерительной информации приборы делятся на аналоговые и цифровые.
В аналоговых приборах показания являются непрерывной функцией размера измеряемой величины, т.е. могут, как и измеряемая величина, принимать бесконечное множество значений.
В цифровых приборах непрерывная измеряемая величина дискретизируется по времени, квантуется по уровню, кодируется и в виде цифрового кода отображается на цифровом отсчетом устройстве. В результате показания цифрового прибора могут принимать лишь конечное число значений.
Цифровые средства измерения обеспечивают, как правило, большую точность и быстродействие. Однако не всегда цифровое устройство лучше аналогового. При большом числе одновременно измеряемых величин (контроль сложного объекта) или при динамическом изменении входной величины показания аналоговых приборов воспринимаются легче, обеспечивая оперативность анализа контролируемого процесса. Поэтому для повышения информативности отсчетные устройства современных цифровых приборов могут дополняться, так называемыми, линейными шкалами - определенным образом расположенными сегментами на цифровом индикаторе.
По способу отображения результата измерения аналоговые и цифровые приборы принято разделять на показывающие, допускающие только отсчитывание показаний, и регистрирующие, в которых предусмотрена возможность автоматической и (или) ручной регистрации показаний.
По способу применения и по конструкции измерительные устройства делятся на: щитовые, переносные (портативные) и стационарные.
Объекты исследований и измерений
Объекты исследований характеризуются различными значениями физических величин, неразрывно связанных с объектом.
Объектами электрорадиоизмерений являются значения физических величин, параметры и характеристики сигналов электрорадиоцепей, компонентов и режимов этих цепей. Например, объект исследования - резистор, объекты измерений - сопротивление резистора постоянному току и мощность рассеивания резистора.
Параметры измеряемых сигналов
Мгновенное значение сигнала (x(t)) - значение сигнала в заданный момент времени (рис. 1).

Рис. 1
Максимальное значение сигнала (Xmax) - наибольшее мгновенное значение сигнала на протяжении заданного интервала времени (Ту). Для сигналов синусоидальной формы термин "максимальное значение" часто заменяют термином "амплитуда" (амплитудное значение, Xm).
Минимальное значение сигнала (Xmin) - наименьшее мгновенное значение сигнала на протяжении заданного интервала времени (Ту).
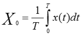
Постоянная составляющая сигнала (Х0) - среднее значение сигнала:
![]() , где Ту - время усреднения. |
Для синусоидальных сигналов с периодом Т постоянная составляющая равна:
![]() |
Средневыпрямленное значение сигнала (Хс.в.) - среднее значение модуля (абсолютной величины) сигнала. Для синусоидальных сигналов:
![]() |
Для однополярных сигналов:
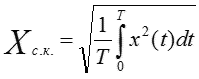
Среднеквадратическое (действующее, эффективное) значение сигнала Хс.к. - корень квадратный из среднего значения квадрата мгновенных значений сигнала.
Для синусоидальных сигналов:
![]() |
Для измерения с.к. значения сигналов несинусоидальной формы используют один из следующих режимов:
1. Аналогично режиму измерения синусоидальных сигналов при условии, что Т=Ту. В этом случае необходимо учитывать следующее: чем больше форма сигнала отличается от синусоидальной, тем выше погрешность измерения (до 30%-50%). В зарубежной литературе данный режим принято обозначать RMS;
2. С учетом наличия гармонических составляющих (режим True RMS):
, где Хс.к.n - с.к. значение n-ой гармоники; |
3. С учетом наличия постоянной составляющей (режим Total RMS):
, где Х0 - постоянная составляющая. |
Переменная составляющая сигнала (х~(t)) - разность между мгновенным значением сигнала и его постоянной составляющей:
х~(t)=х(t) - Х0.
Пиковое отклонение "вверх" (Хв.в.) - наибольшее мгновенное значение переменной составляющей сигнала на протяжении заданного интервала времени.
Пиковое отклонение "вниз" (Хв.н.) - наименьшее мгновенное значение переменной составляющей сигнала на протяжении заданного интервала времени, взятое по модулю.
Размах сигнала (Хр.) - разность между максимальным и минимальным значениями сигнала на протяжении заданного интервала времени:
Хр.=Хmax - Xmin=Хв.в. + Хв.н.
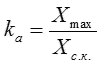
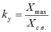
Связь между рассмотренными параметрами устанавливается через коэффициент амплитуды (Peak Factor)
![]() |
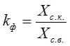
, коэффициент формы (Form Factor)
![]() |
и коэффициент усреднения
![]() |
Для каждой формы физически реализуемого сигнала все три коэффициента определены (таблица 2), потому измерения одного из значений сигнала достаточно для вычисления и других его параметров.
Таблица 2.
| Форма сигнала | ka | kф | kу |
| Синусоидальная | 1,41 | 1,11 | 1,57 |
| Треугольная | 1,73 | 1,16 | 2 |
| Прямоугольная со скважностью Q | |||
| Меандр | 1 | 1 | 1 |
| Постоянный ток | 1 | 1 | 1 |
Единицы измеряемых физических величин
В нашей стране подлежат обязательному применению единицы Международной системы единиц (СИ), содержащей основные, дополнительные и производные единицы, а также десятичные кратные и дольные от них.
Единицы СИ некоторых электрических величин приведены в таблице 3. В таблице 4 приведены множители и приставки для образования десятичных кратных и дольных единиц.
Таблица 3.
| Электрическая величина | Единица измерений | |||
| наименование | обозначение | наименова-ние | русское обоз-ние | международное обоз-ние |
| Сила тока | I | ампер | А | A |
| Напряжение, ЭДС | U, E | вольт | В | V |
| Мощность активная | P | ватт | Вт | W |
| Сопротивление | R | ом | Ом | Ω |
| Емкость | C | фарада | Ф | F |
| Индуктивность, взаимная индуктивность | L, M | генри | Гн | H |
| Частота | f | герц | Гц | Hz |
| Длина волны | λ | метр | м | m |
| Фазовый сдвиг | φ | радиан | рад | rad |
Таблица 4.
| Множитель | Приставка | Множитель | Приставка | ||||
| наименование | обозначение | наименование | обозначение | ||||
| русское | международное | русское | международное | ||||
| 10-18 | атто | а | a | 101 | дека | да | da |
| 10-15 | фемто | ф | f | 102 | гекто | г | h |
| 10-12 | пико | п | p | 103 | кило | к | k |
| 10-9 | нано | н | n | 106 | мега | М | M |
| 10-6 | микро | мк | μ | 109 | гига | Г | G |
| 10-3 | мили | м | m | 1012 | тера | Т | T |
| 10-2 | санти | с | c | 1015 | пета | П | P |
| 10-1 | деци | д | d | 1018 | экса | Э | E |
При проведении абсолютных измерений, основанных на прямых измерениях одной или нескольких основных величин, значение измеряемой величины определяется в единицах СИ. Результат относительных измерений, выполняемых путем отношения одноименных величин, выражается во внесистемных единицах (например, вольт-ампер) или является безразмерным значением (например, значение коэффициента мощности). В радиотехнической практике результат относительных измерений обычно выражается в децибелах, а при измерениях в технике связи дополнительно используется еще одна внесистемная единица - непер.
Децибел (дб) - относительная единица, основанная на десятичном логарифме отношения двух величин одинаковой размерности (мощность, напряжение, ток):
Nдб=10 lg(P2/P1),
Nдб=20 lg(U2/U1)=20 lg(I2/I1).
Непер (неп.) - относительная единица, основанная на натуральном логарифме отношения двух величин одинаковой размерности:
Nнеп.=ln(U2/U1).
Соотношение между относительными единицами определяется следующим образом:
1 дб=0.115 неп.,
1 неп.=8.686 дб.
Погрешности измерений и измерительных приборов
Отклонение результата измерения от истинного значения измеряемой величины является погрешностью измерения.
Абсолютная погрешность измерения (Δизм.) - разность между действительным и истинным значениями измеряемой величины: Δизм.=Хд. - Хи.
Относительная погрешность измерения (δизм.) - отношение абсолютной погрешности измерения к истинному значению измеряемой величины, выраженное в %:
![]() |
Для проведения любого измерения необходимо правильно выбрать метод измерения, средство измерения и исполнителя (оператора), чтобы полученный результат был максимально приближен к истинному значению измеряемой величины. В противном случае появляются методические, инструментальные или субъективные погрешности измерений.
Инструментальные погрешности измерений зависят от погрешностей применяемых средств измерений.
Абсолютная погрешность измерительного прибора (Δпр.) - разность между показанием прибора и действительным значением измеряемой величины: Δпр.=Хпр. - Хд.
Относительная погрешность измерительного прибора (δпр.) - отношение абсолютной погрешности прибора к действительному (или измеренному, Хпр.) значению величины, выраженное в %:
![]() |
Значение относительной погрешности зависит от значения измеряемой величины - при постоянной пр. она возрастает с уменьшением Хпр.. Поэтому максимальная точность измерений обеспечивается, когда показание прибора находится во второй половине диапазона измерений. Диапазон измерений - область значений измеряемой величины, для которой нормированы допускаемые погрешности прибора. Допускаемой погрешностью считается погрешность прибора, при которой он может быть признан годным и допущен к применению.
Для сравнительной оценки точности измерительных устройств пользуются понятием приведенной погрешности прибора (γпр.), под которой понимают выраженное в % отношение абсолютной погрешности прибора к нормирующему значению шкалы:
![]() |
В качестве XN чаще всего используют конечное значение диапазона измерений.
Погрешность, свойственная измерительному прибору при его эксплуатации в нормальных условиях, называется основной погрешностью. Для большинства средств измерений нормальными условиями эксплуатации считаются следующие: температура окружающей среды 20±5°С, относительная влажность 65±15%, напряжение питания 220 В±10% с частотой 50±1 Гц. При отклонении условий эксплуатации от нормальных (при рабочих условиях) появляются дополнительные погрешности.
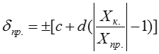
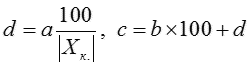
Погрешности некоторых измерительных приборов зависят от текущего значения измеряемой величины Хпр., поэтому погрешности таких приборов представляют двучленными выражениями, в которых первое слагаемое не зависит от Хпр. (аддитивная погрешность), а второе зависит (мультипликативная погрешность):
, где a, b - постоянные числа; |
![]() , где Хк. - верхний предел измерений прибора; c, d - постоянные числа в %, причём |
![]() |
Проявление погрешностей измерений и средств измерений может носить систематический и (или) случайный характер.
Систематическая погрешность - это составляющая погрешности, остающаяся постоянной или закономерно изменяющаяся при повторных измерениях одного и того же значения физической величины.
Случайная погрешность - составляющая погрешности, изменяющаяся случайным образом при повторных измерениях одного и того же значения физической величины. Для исключения из результата измерения случайной погрешности проводят многократные измерения и их статистическую обработку.
Общие рекомендации по подбору средств измерений
Средство измерений в зависимости от его назначения и области применения должно удовлетворять определенным требованиям, из которых наиболее общими являются следующие:
- Диапазон измерений должен охватывать все практически необходимые значения измеряемой величины;
- Основная и дополнительная погрешности должны соответствовать решаемым при измерениях задачам;
- Приборы, предназначенные для измерения режима электрических цепей и параметров радиосигналов, не должны существенно влиять на работу исследуемых устройств. Для этого используется последовательная или параллельная схема подключения, либо режим согласованной нагрузки;
- Прибор должен надежно работать при заданных условиях эксплуатации, что достигается применением современной элементной базы и высокотехнологичным монтажом. Использование передовой SMТ-технологии значительно повышает коэффициент надежности современного измерительного оборудования;
- Управление прибором должно быть максимально простым и удобным для пользователя;
- В эпоху глобальной компьютеризации желательно иметь прибор с возможностью подключения к компьютеру (например, через RS-232);
- Прибор должен удовлетворять требованиям техники безопасности при измерениях;
- Если средство измерения предполагается использовать в сфере деятельности метрологического контроля, то оно в обязательном порядке должно иметь сертификат об утверждении типа средств измерений Госстандарта России.
Актуальность последнего пункта для импортных средств измерения диктуется временем: отечественная радиоэлектронная промышленность переживает существенный спад, поэтому для насыщения российского рынка высококачественным измерительным оборудованием необходимо, в первую очередь, обеспечить его метрологический контроль. Задача по внесению средств измерений в Госреестр требует больших финансовых и временных затрат, при этом орган сертификации подтверждает заявленные производителем метрологические характеристики и проверяет их соответствие российским стандартам. В связи с этим далеко не все поставщики импортного оборудования обеспечивают сертификацию предлагаемых средств измерений.
Автор: Котельник О.В.
Дата публикации: 01.03.2000
У нас представлены товары лучших производителей
ПРИСТ предлагает оптимальные решения измерительных задач.
У нас вы можете купить осциллограф, источник питания, генератор сигналов, анализатор спектра, калибратор, мультиметр, токовые клещи, поверить средства измерения или откалибровать их. Также мы поставляем паяльно-ремонтное оборудование, антистатический инструмент, промышленную мебель. Мы имеем прямые контракты с крупнейшими мировыми производителями измерительного оборудования, благодаря этому можем подобрать то оборудование, которое решит Ваши задачи. Имея большой опыт, мы можем рекомендовать продукцию следующих торговых марок:
Внимание! Отсутствие ошибок и опечаток не гарантируется. В технические характеристики средств измерений неутвержденного типа производителем могут быть внесены изменения без предварительного уведомления. Соответствие важных параметров требует уточнения. Полные технические характеристики предоставляются по отдельному запросу. Нашли ошибку? Выделите мышкой и нажмите Ctrl+Enter.















