Корзина пуста
Статьи
Частотный Синтез: Текущие Решения и Новые Тенденции
| Александр Ченакин “Microwave Journal”, Май 2007, стр. 256-266, перевод с англ. Представлен краткий обзор современных технологий построения частотных синтезаторов СВЧ диапазона. Проанализированы основные особенности и различные архитектуры синтезаторов частоты. Рассмотрены новые требования, технические ограничения и возможные инженерные решения. |
Основные характеристики
Частотный синтезатор являются ключевым элементом практически любой системы связи, измерения и контроля [1]-[5]. Ниже приводятся основные требования в проектировании новых поколений частотных синтезаторов СВЧ диапазона.
Частотный диапазон и разрешение. Фиксированный или относительно узкополосный (10-20%) сигнал может быть достаточным во многих применениях. Однако, современные цифровые широкополосные системы требуют намного более широкого охвата частоты, простирающегося на несколько октав. Широкая полоса частот и высокое разрешение (1 Гц и ниже) – неотъемлемое требование измерительных инструментов - лабораторных генераторов частоты, анализаторов спектра, и т. д. Представляется целесообразной разработка универсального широкодиапазонного решения, которое может быть использовано во многих применениях.
Выходная мощность. Необходимый уровень выходной мощности может варьироваться в широких пределах в зависимости от конкретного применения. Типичным сценарием является использование синтезатора в качестве источника опорного сигнала смесителя в различных системах частотного преобразования. Обычно, 10…17 дБм является приемлемым уровнем, хотя некоторые схемы требуют более высокой мощности.
Негармонические искажения. Негармонические спектральные составляющие (spurs) – нежелательные частотные продукты, создаваемые синтезатором на отдельных дискретных частотах. Местоположение и уровень этих составляющих определяются архитектурой построения и частотным планом конкретного синтезатора. В микроволновых системах связи негармонические искажения могут ограничить способность приёмного устройства в выделении и дальнейшей обработки принимаемого сигнала. Таким образом, уровень негармонических спектральных составляющих синтезатора минимизируется и, как правило, не превышает -60 dBн относительно уровня основного сигнала, хотя в ряде случаев должен быть снижен до -80 dBн и ниже. Это требует определённого усилия в проектировании частотного синтезатора, и обычно, является компромиссом между другими параметрами, в частности, уровнем фазового шума, разрешения по частоте и скорости перестройки.
Фазовый шум и стабильность - одни из главных параметров, которые в конечном счёте ограничивает чувствительность приёмных систем. Стабильность синтезатора и фазовый шум определяются опорным сигналом (reference), а также конкретной архитектурой построения синтезатора. Синтезаторы, основанные на использовании фазовой автоподстройки частоты (ФАПЧ), также зависят от используемого перестраиваемого генератора, шум которого может быть ниже эффективного шума опорного сигнала при больших отстройках от основной частоты. Хорошим примером является ЖИГ-генератор (YIGoscillator), уровень шума которого может достигать -120 …-130 дБн/Гц (при отстройке 100 кГц) в диапазоне частот от 2 до 10 ГГц и выше.
Скорость перестройки определяет, как быстро синтезатор может быть перестроен с одной частоты на другую. Время, требуемое для перестройки, является критическим параметром, так как, обычно, не может быть использовано для обработки сигнала. Новые поколения систем связи требуют всё более высоких скоростей переключения для увеличения эффективной пропускной способности. Даже традиционно “медленные” измерительные приборы требуют увеличения скорости перестройки. Характерным примером является новый векторный сетевой анализатор, содержащий четыре независимых высокоскоростных синтезатора частоты [6]. Таким образом, разработчики частотных синтезаторов должны учитывать эту тенденцию; требуемые величины скорости перестройки находятся в микросекундном диапазоне.
Потребление энергии и габариты. Современное оборудование имеет тенденцию к уменьшению размеров и снижению потребляемой энергии. Новые разработки должны использовать микросхемы с высокой степенью интеграции и малой потребляемой мощностью. Также, следует отказаться от использования громоздких и энергоёмких ЖИГ-генераторов и фильтров.
Особые Требования
Современные частотные синтезаторы СВЧ диапазона требуют постоянного улучшения технических характеристик, расширения функциональных возможностей, снижения габаритов, энергопотребления и конечной стоимости. Однако, особым требованием является увеличение скорости перестройки, что продиктовано постоянным расширением пропускной способности современных микроволновых систем. В то время, как традиционные измерительные приборы и системы связи всё ещё работают в миллисекундном диапазоне, новые системы требует микросекундой скорости переключения с сохранением основных характеристик (фазовый шум, негармонические искажения), что, очевидно, представляет серьёзные технические трудности. Другая проблема - уменьшение конечной стоимости, хотя и является довольно "стандартным" требованием, также резко сужает выбор необходимых технических решений.
Эти особые требования - микросекундный диапазон скорости перестройки (вместе с малыми шумами и искажениями!) и низкая стоимость - вероятно, будут ключевыми параметрами в разработке новых поколений синтезаторов частоты.
Архитектурные решения
Ниже рассматриваются различные архитектуры и особенности построения частотных синтезаторов. Особое внимание уделяется техническим решениям, направленным на увеличение скорости перестройки, а также уменьшение стоимости синтезатора.
Аналоговые Синтезаторы. Основной функцией любого синтезатора является преобразование опорного сигнала (reference) в требуемое количество выходных сигналов. Аналоговые синтезаторы (DirectAnalogSynthesizers) реализуются путём смешения отдельных базовых частот с их последующей фильтрацией, как показано на рис. 1. Базовые частоты могут быть получены на основе низкочастотных (кварц, ПАВ) или высокочастотных (диэлектрический, сапфировый, волноводный, керамический резонаторы) генераторов посредством умножения, деления или фазовой автоподстройки частоты [7].
![]() |
Рисунок 1 |
Ключевым преимуществом аналоговых синтезаторов является чрезвычайно высокая скорость переключения, лежащая в микро-или даже наносекундном диапазоне. Другое преимущество – использование компонентов (например, смесителей) с исключительно малым уровнем собственных шумов по сравнению с источниками базовых частот. Таким образом, шумы аналогового синтезатора, в основном, определяются шумами используемых базовых источников и могут быть весьма низкими.
![]() |
Рисунок 2 |
Основной недостаток указанной топологии – ограниченный диапазон и разрешение по частоте. В нашем примере (рис. 1) генерируется не более восемнадцати выходных частот (даже, используя обе боковые полосы смесителя). Количество генерируемых сигналов может быть увеличено путём введения большего числа базовых частот и/или смесительных каскадов, как показано на рис. 2. Однако, это приводит к быстрому росту числа используемых компонентов и, следовательно, усложнению системы.
Эффективным решением является использование цифрового (DDS) синтезатора (рис. 3) для увеличения минимального частотного шага, требуемого от аналоговой части.
![]() |
Рисунок 3 |
Другая серьёзная проблема - большое количество нежелательных продуктов преобразования смесительных каскадов, которые должны быть тщательно отфильтрованы; особое внимание следует уделить обеспечению необходимой изоляции переключаемых фильтров. Хотя известно большое число различных схем организации смесителей и фильтров, все они, как правило, требуют интенсивного использования аппаратных средств (т.е. компонентов) для обеспечения малого размера шага и широкого охвата частоты. Таким образом, хотя этот подход и предлагает исключительно высокую скорость перестройки и малые шумы, его использование ограничено из-за довольно высоких стоимостных характеристик.
Цифровые Синтезаторы. В отличие от традиционных решений, цифровые синтезаторы (DDS– Direct Digital Synthesizer) используют цифровую обработку для конструирования требуемой формы выходного сигнала из базового (тактового) сигнала [8]. С помощью фазового аккумулятора сначала создаётся цифровое представление сигнала (рис. 4), а затем генерируется и сам выходной сигнал (синусоидальной или любой другой желаемой формы) посредством цифро-аналогового преобразователя (ЦАП - DAC). Скорость генерации цифрового сигнала, главным образом, ограничена цифровым интерфейсом и является весьма высокой, сопоставимой с аналоговыми схемами. Цифровые синтезаторы также обеспечивают довольно малый уровень фазовых шумов, даже демонстрируя уменьшение шумов используемого тактового сигнала. С этой точки зрения цифровой синтезатор функционирует как обычный делитель частоты. Однако, основным достоинством цифрового синтезатора является исключительно высокое разрешение по частоте (ниже 1 Гц), определяющиеся длиной фазового аккумулятора.
![]() |
Рисунок 4 |
Главные недостатки - ограниченный частотный диапазон и большие искажения сигнала. В то время, как нижняя граница рабочего диапазона частот цифрового синтезатора лежит фактически в области постоянного тока, его верхняя граница в соответствии с критерием Найквиста не может превышать половины тактовой частоты. Кроме того, реконструкция выходного сигнала требует применения фильтра нижних частот, ограничивающего диапазон выходного сигнала до 40% (приблизительно) тактовой частоты.
Другая серьёзная проблема - высокое содержание нежелательных спектральных продуктов (spurs) из-за ошибок квантизации и преобразования ЦАП. С этой точки зрения цифровой синтезатор ведёт себя как частотный смеситель, генерирующий дискретные продукты на комбинационных частотах. В то время, как частотное местоположение этих продуктов может быть легко вычислено, их амплитуда намного менее предсказуема. Как правило, продукты более низкого порядка имеют наиболее высокую амплитуду, тем не менее, продукты довольно высокого порядка приходится учитывать при разработке частотного плана конкретного синтезатора. Амплитуда также увеличивается с увеличением тактовой частоты, что является дополнительным ограничением диапазона генерируемых частот. Практические значения верхней границы диапазона находятся в районе от нескольких десятков до нескольких сотен МГц при уровне дискретных спектральных продуктов -50…-60 дБн. Очевидно, прямое умножение выходного сигнала частотного синтезатора не может быть реализовано из-за дальнейшей деградации спектрального состава.
Известно большое количество аппаратных и программных решений, направленных на улучшение спектрального состава цифрового синтезатора [9]. Аппаратные методы, обычно, основаны на переносе сигнала цифрового синтезатора вверх по частоте с его последующим делением, как показано на рис. 5. Этот метод эффективно уменьшает содержание нежелательных спектральных продуктов на 20 дБ/октаву, присущее процессу деления частоты. К сожалению, это также уменьшает полосу генерируемого сигнала, что требует увеличения количества используемых базовых частот и фильтров (рис. 6) подобно аналоговым схемам.
![]() |
Рисунок 5 |
Программные методы направлены на оптимизацию частотного плана синтезатора, основываясь на том факте, что местоположение дискретных продуктов цифрового синтезатора является функцией его выходного сигнала и тактовой частоты (подобно частотным смесителям). Так, для данной выходной частоты дискретный продукт можно сдвинуть по частоте (а, следовательно, и отфильтровать), изменяя тактовую частоту цифрового синтезатора. Этот метод может быть особенно эффективно использован в системах ФАПЧ, которые обеспечивают генерацию тактового сигнала, а также узкополосную фильтрацию выходного сигнала. Следует отметить, что программный метод работает достаточно эффективно для подавления продуктов относительно малого порядка. К сожалению, плотность дискретных спектральных продуктов, обычно, увеличивается пропорционально их порядку, что ограничивает практическое использование этого метода на уровне -70…-80 dBн.
![]() |
Рисунок 6 |
Таким образом, из-за ограниченного диапазона частот и высокого содержания нежелательных спектральных продуктов цифровые синтезаторы редко используются для непосредственного генерирования СВЧ сигнала. В тоже время, они находят широкое применение в более сложных аналоговых и ФАПЧ-системах для обеспечения высокого разрешения по частоте.
Синтезаторы ФАПЧ
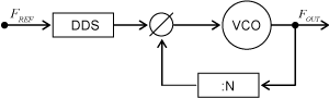
Синтезаторы, основанные на применении фазовой автоподстройки частоты, как правило, имеют гораздо меньшие размеры и уровень сложности по сравнению с аналоговыми схемами [10]-[14]. Так, типичный однопетлевой синтезатор ФАПЧ включает в себя перестраевымый генератор, управляемый напряжением (ГУН - VCO), сигнал которого после требуемого (программируемого) деления по частоте доставляется ко входу фазового детектора, как показано в рис. 7.
![]() |
Рисунок 7 |
Другой вход фазового детектора подключён к источнику опорного сигнала (reference), частота которого равна требуемому частотному шагу. Фазовый детектор сравнивает сигналы на обоих входах и генерирует сигнал ошибки, который после фильтрации и усиления (при необходимости) подстраивает частоту ГУН к ƒ=FREF × N, где FREF - частота опорного сигнала на входе фазового детектора.
Главным преимуществом схем на основе ФАПЧ являются более чистый спектр выходного сигнала, вследствие эффективного использования фильтра нижних частот (ФНЧ - LPF), и намного более низкий уровень сложности по сравнению с аналоговыми синтезаторами. Основной недостаток - большее время перестройки (обратно пропорциональное полосе пропускания фильтра ФАПЧ и, следовательно, частотному шагу) и значительно более высокий уровень фазового шума по сравнению с аналоговыми схемами. Фазовый шум синтезатора в пределах полосы пропускания фильтра ФАПЧ равен λ = λPD + 20 log N, где λPD - суммарный уровень фазовых шумов опорного сигнала, фазового детектора, частотного делителя, фильтра и усилителя цепи обратной связи, пересчитанного ко входу фазового детектора (рис. 8). Таким образом, фазовый шум зависит от коэффициента деления частотного делителя, который может быть довольно большим для обеспечения требуемого разрешения по частоте. Так, для получения сигнала на частоте 10 ГГц с разрешением 1 МГц коэффициент деления должен быть равен 10000, что соответствует увеличению фазового шума на 80 дБ. Кроме того, программируемые делители используются на относительно низких частотах, что требует введения дополнительного высокочастотного делителя с фиксированным коэффициентом деления {prescaler). Это приводит к увеличению суммарного коэффициента деления петли обратной связи и, как следствие, дальнейшей деградации фазового шума. Очевидно, такая простая схема не позволяет использовать шумовые возможности современных малошумящих генераторов опорного сигнала. Кроме того, гармонические составляющие опорного сигнала в выходном спектре синтезатора, обычно, также пропорциональны коэффициенту деления в цепи обратной связи [10]. В результате однопетлевые схемы ФАПЧ находят ограниченное применение, а именно, в системах, не предъявляющих высокие требования к качеству генерируемого сигнала.
![]() |
Рисунок 8 |
Основные характеристики синтезатора могут быть значительно улучшены введением частотного преобразования (смесителя) в цепь обратной связи как показано на рис. 9. При этом сигнал ГУН переносится вниз по частоте, что позволяет значительно уменьшить коэффициент деления цепи обратной связи [10]. Опорный сигнал смесителя генерируется с помощью дополнительной петли ФАПЧ (многопетлевые схемы) или умножителя частоты. Красивым решением является использование смесителя гармоник, который использует многочисленные гармоники опорного сигнала, генерируемые встроенным диодом. Использование смесителя гармоник позволяет резко упростить конструкцию синтезатора. В тоже время, следует отметить исключительно высокую чувствительность данного типа смесителя к параметрам отдельных элементов схемы, оптимизация которых – далеко не тривиальная задача.
![]() |
Рисунок 9 |
В зависимости от конкретных требований к фазовым шумам и разрешения по частоте возможно введение большего числа смесительных каскадов, что, однако, приводит к усложнению конструкции синтезатора. Другой проблемой, присущей схемам, основанным на частотном преобразовании, является ложный захват частоты (например, при использовании зеркального канала смесителя). Это требует достаточно точной предварительной настройки частоты ГУН, например, с помощью цифро-аналогового преобразователя (ЦАП). Это, в свою очередь, требует исключительно высокой линейности (и повторяемости) характеристики частотной настройки ГУН в рабочем температурном диапазоне, а также точной калибровки данной характеристики для компенсации её температурного дрейфа. Кроме того, цифро-аналоговые преобразователи, обычно, отличаются повышенным уровнем шумов, что непосредственно влияет на шумовые характеристики синтезатора и требует выведения ЦАП из петли ФАПЧ после предварительной настройки на требуемую частоту [10].
Другой способ уменьшения суммарного коэффициента деления основан на использовании дробных коэффициентов деления, что достигается делением частоты на N+1 каждые М периодов сигнала и делением на Nв течении остального промежутка времени [15]. В этом случае усреднённый коэффициент деления равен (N+1)/M, где N и М - целые числа. Для заданного размера частотного шага схемы с дробным коэффициентом деления позволяют использовать более высокую частоту сравнения на входе фазового детектора, что приводит к уменьшению фазового шума и увеличению скорости перестройки синтезатора. Основной недостаток техники дробного деления – повышенное содержание негармонических спектральных составляющих из-за фазовых ошибок, присущих механизму дробного деления.
Весьма эффективным решением является использование рассмотренного выше цифрового синтезатора (DDS), который, по существу, также является дробным делителем частоты. Цифровой синтезатор может быть использован в качестве источника опорного сигнала или же дробного делителя частоты, как показано на рис. 10, 11 соответственно. Особое внимание следует уделить спектральному составу выходного сигнала цифрового синтезатора, который деградирует на 20 дБ/октаву из-за наличия частотного делителя в петле ФАПЧ. С этой точки зрения конфигурация, приведённая на рис. 10, представляется более гибкой, так как позволяет введение смесительных каскадов, рассмотренных выше. Хотя схема, приведённая на рис. 11, и не содержит частотного делителя, тем не менее, она подвержена той же степени деградации, соответствующей отношению входной (тактовой) и выходной частот цифрового синтезатора.
![]() |
Рисунок 10 |
![]() |
Рисунок 11 |
Следует отметить, что описанные выше методы улучшения спектральных характеристик цифровых синтезаторов эффективно работают со схемами ФАПЧ, обладающими исключительно высокими фильтрационными свойствами. И, хотя использование цифрового синтезатора приводит к определённому усложнению схемы, тем не менее, представляется, что общая конструкция будет обладать хорошими техническими и стоимостными характеристиками.
Выбор ГУН
Проектирование синтезаторов ФАПЧ в значительной степени определяется параметрами используемого ГУН. Исторически разработчики синтезаторов, в первую очередь, полагались на ЖИГ-генераторы, отличающиеся широким диапазоном генерируемых частот и малыми фазовыми шумами. ЖИГ-генераторы также демонстрируют линейные (и повторяемые) характеристики настройки, что упрощает первоначальную подстройку и захват частоты в системах многопетлевой ФАПЧ. Эти уникальные особенности ЖИГ-генераторов в течение длительного времени обеспечили доминирование синтезаторов, сконструированных на их основе.
Однако, большое потребление энергии, размеры, высокая стоимость и, особенно, низкая скорость перестройки, присущая любому ЖИГ-генератору, предопределили переход на полупроводниковые генераторы. В настоящее время высокочастотные (до 10 ГГц и выше) твердотельные перестраиваемые генераторы доступны в виде дешёвых интегральных схем. Так как шумовые характеристики таких генераторов значительно хуже по сравнению с ЖИГ-генераторами, разработчики синтезаторов должны полагаться, в основном, на шумовые качества источника опорного сигнала. В настоящее время коммерческие кварцевые генераторы демонстрируют фазовые шумы в районе -160…-176 дБн/Гц на частоте 100 МГц при отстройке 20...100 кГц [16]. Эти величины соответствуют -120…-136 дБн/Гц при пересчёте на 10 ГГц и такой же частоте отстройки, что сравнимо и, даже, превосходит шумовые характеристики ЖИГ-генераторов. Конечно, при этом предполагается, что шумовые характеристики отдельных элементов синтезатора не оказывают заметного влияния на процесс преобразования опорного сигнала. Хотя такое предположение требует применения неординарных технических решений, конечный эффект очевиден: синтезаторы на основе полупроводниковых генераторов могут потенциально достичь исключительно высоких скоростей перестройки вместе с отличными шумовыми и спектральными характеристиками без применения дорогостоящих, громоздких и энергоёмких ЖИГ-генераторов.
Будущие Разработки
Аналоговый синтезатор на сегодняшний день является наиболее передовой архитектурой, предлагающей исключительно высокую скорость перестройки и малые фазовые шумы. Хотя его стоимостные характеристики и не соответствуют общей тенденции сокращения стоимости, тем не менее, аналоговый синтезатор может быть отличным решением в некоторых применениях, где низкая стоимость не является доминирующим фактором. Некоторое сокращение стоимости ожидается с увеличением рабочей частоты цифровых синтезаторов, которые могут упростить конструкцию аналогового синтезатора.
Цифровые синтезаторы имеют огромный потенциал в результате чрезвычайно быстрого развития GaAs, Si и SiGe технологий. Ожидается повышение рабочей частоты и улучшение спектральных характеристик цифровых синтезаторов, что окажет огромную помощь при проектировании аналоговых и ФАПЧ-синтезаторов.
Однако, наиболее перспективные разработки в ближайшее время, по-видимому, будут связаны с ФАПЧ-синтезаторами, базирующимися на дешёвых генераторных интегральных схемах. Основные усилия будут направлены на уменьшение собственных шумов отдельных элементов синтезатора для расширения оптимальной полосы пропускания фильтра ФАПЧ до нескольких МГц, где твердотельные генераторы становятся конкурентоспособными по шумовым свойствам с ЖИГ-генераторами. Это позволит достичь микросекундного диапазона скорости перестройки частоты с сохранением уровня шума, присущего ЖИГ-генераторам. Эти характеристики, наряду с низкой стоимостью, присущей синтезаторам на основе ФАПЧ, по-видимому, предопределят их доминирование в будущих разработках.
Литература:
- J. Browne, “Frequency Synthesizers Tune Communications Systems,” Microwaves&RF, March 2006.
- V. Kroupa, “Frequency Synthesis Theory, Design and Applications,” New York: Willey, 1973.
- V. Manassewitsch, “Frequency Synthesizers Theory and Design,” ThirdEdition,New York:JohnWiley & Sons, 1987.
- U. Rohde, “Microwave and Wireless Synthesizers: Theory and Design,” New York: John Wiley & Sons, 1997.
- J. Klapper and J. Frankle, “Phased-Locked and Frequency Feedback Systems,” New York: Wiley, 1972.
- “A 24 GHz Network Analyzer,” by Rohde & Schwartz, Microwave Journal, October 2005.
- Z. Galani and R. Campbell, “An Overview of Frequency Synthesizers for Radars,” in IEEE Transactionson Microwave Theory and Techniques, vol. MTT-39, 1991, pp. 782-789.
- V. Kroupa, “Direct Digital Frequency Synthesizers” New York: IEEE Press, 1999.
- T. Endres, R. Hall, and A. Lopez, “Design and Analysis Methods of a DDS-Based Synthesizer for military spaceborne applications” in IEEE International Frequency Control Symposium Proc., 1994, pp. 625-632.
- W. Egan,“Frequency Synthesis by Phase Lock” New York: Wiley, 2000.
- R. Best,“Phase-Locked Loops - Theory, Design, and Applications” New York: McGraw-Hill, 1984.
- U. Rohde,“Digital PLL Synthesizers: Design and Applications” NJ: Prentice Hall, 1983.
- A. Blanchard,“Phase-Locked Loops” New York: Wiley, 1976.
- F.Gardner,“Phaselock Techniques” Second Edition, New York:Wiley, 1979.
- “Fractional-N Synthesizer” Application Note, Synergy Microwave Corporation, http://www.synergymwave.com/> www.synergymwave.com.
- “A High Frequency Reference Module” by Valpey Fisher Corporation, Microwave Journal, April 2005.
Об авторе
Александр Ченакин окончил Киевский Политехнический институт, кандидат технических наук. Работал на различных инженерных и руководящих должностях, возглавлял консалтинговую компанию по исследованию передовых технологий в области генерации микроволновых сигналов. В настоящее время работает директором отдела частотного синтеза компании Phase Matrix, Сан-Хосе, США, где курирует разработки новых поколений частотных синтезаторов для различных измерительных приборов и систем.
Автор: Александр Ченакин (Phase Matrix); перевод с англ. Пивак А.В. к.т.н.
Дата публикации: 01.05.2007
У нас представлены товары лучших производителей
ПРИСТ предлагает оптимальные решения измерительных задач.
У нас вы можете купить осциллограф, источник питания, генератор сигналов, анализатор спектра, калибратор, мультиметр, токовые клещи, поверить средства измерения или откалибровать их. Также мы поставляем паяльно-ремонтное оборудование, антистатический инструмент, промышленную мебель. Мы имеем прямые контракты с крупнейшими мировыми производителями измерительного оборудования, благодаря этому можем подобрать то оборудование, которое решит Ваши задачи. Имея большой опыт, мы можем рекомендовать продукцию следующих торговых марок:
Внимание! Отсутствие ошибок и опечаток не гарантируется. В технические характеристики средств измерений неутвержденного типа производителем могут быть внесены изменения без предварительного уведомления. Соответствие важных параметров требует уточнения. Полные технические характеристики предоставляются по отдельному запросу. Нашли ошибку? Выделите мышкой и нажмите Ctrl+Enter.















